Skip to main content
FAQs
Complain
Problems
Search form
Search
X
9857017683, 9857017684
omsatiyamun@gmail.com
ओमसतिया गाउँपालिका
गाउँ कार्यपालिकाको कार्यालय , रुपन्देही , लुम्बिनी प्रदेश
Search form
Search
गृहपृष्ठ
परिचय
संगठनात्मक स्वरुप
जन प्रतिनिधि
कर्मचारी विवरण
पूर्व कर्मचारी
श्रोत नक्सा
वडा कार्यालयहरु
कार्यक्रम तथा परियोजना
बजेट तथा कार्यक्रम
योजना तथा परियोजना
आय व्यय विवरण
विधुतीय शुसासन सेवा
घटना दर्ता
सामाजिक सुरक्षा
नागरिक वडापत्र
नमुना फारमहरु
प्रतिवेदन
मासिक प्रगति प्रतिवेदन
चौमासिक प्रगति प्रतिवेदन
वार्षिक प्रगति प्रतिवेदन
लेखा परीक्षण प्रतिवेदन
अनुगमन प्रतिवेदन
सार्वजनिक सुनुवाई
सार्वजनिक परीक्षण
सामाजिक परिक्षण
प्रकाशन
सूचना तथा जानकारी
सार्वजनिक खरिद/बोलपत्र सूचना
ऐन कानुन निर्देशिका
कर तथा शुल्कहरु
निर्णयहरु
गाउँ सभाका निर्णयहरु
गाउँ कार्यपालिका निर्णयहरु
गाउँपालिकाका निर्णयहरु
ग्यालरी
सम्पर्क
वृत्ति मार्गनिर्देशन पोर्टल
बिषयगत शाखाहरु
कृषि शाखा
शिक्षा शाखा
स्वास्थ्य शाखा
महिला तथा बालबालिका शाखा
पशु शाखा
स्वास्थ्य प्रोफाईल
सुचना तथा समाचार
स्थानीय विदा सम्वन्धि सूचना !
विज्ञापन करको बोलपत्र आव्हान सम्वन्धी सूचना !
आधारभूत तह कक्षा ८ को परीक्षा तालिका सम्वन्धि सूचना !
तेस्रो उपाध्यक्ष कप महिला भलिवल प्रतियोगिताको खेल तालिका सम्वन्धि सूचना !
ठेक्का न. NCB/ORM/WORKS/09/2082-83 को विधुतीय बोलपत्र स्वीकृत गर्ने आशयको ७ (सात) दिने सूचना
Notice to open financial Bids (NCB/ORM/WORKS /08/082-83).
उपाध्यक्ष कप महिला भलिवल प्रतियोगिता सम्वन्धि सूचना !
Invitaton for Bids. Identification No. NCB/ORM/WORKD09/2082-83
चैते धान प्रर्वध्दन कार्यक्रममा सुचिकृत हुने सम्बन्धी ३० दिने सूचना
विद्यालयमा जाडो विदा सम्वन्धि सूचना !!!
प्रस्ताव आव्हान सम्वन्धित सूचना !
करारमा एम्बुलेन्स चालक आवश्यकता सम्वन्धि सूचना !
७०% अनुदानमा कृषि मिटर जडान सम्वन्धी सूचना !
बोलपत्र स्वीकृत गर्ने आसयको ७ दिने सूचना !
NCB/ORM/WORK/08/2082-083 को BOQ शंसोधन सम्वन्धि सूचना !
You are here
Home
» ठेक्का न. SQ/ORM/WORK/04/082-83 को E-Bidding सम्बन्धि सुचना
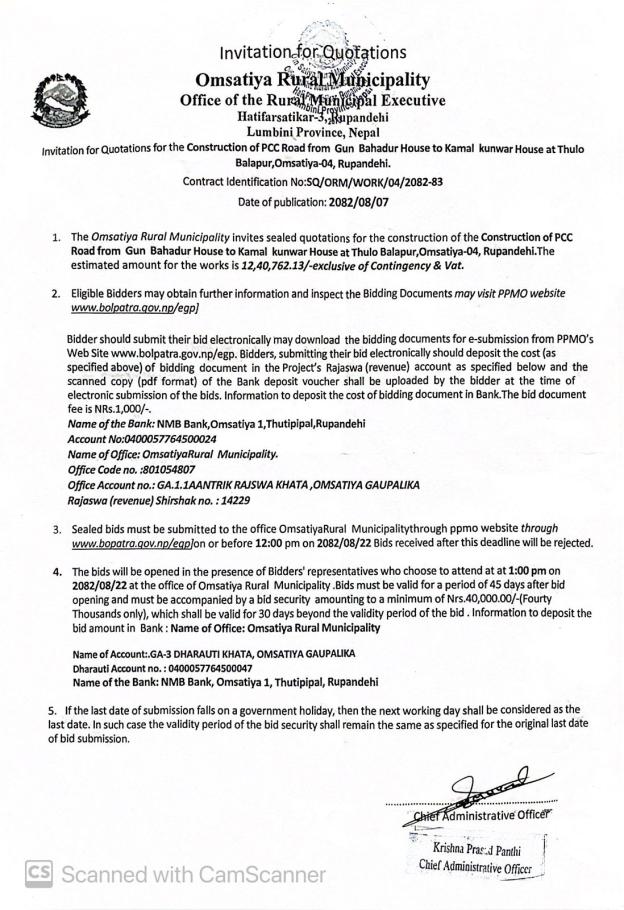
ठेक्का न. SQ/ORM/WORK/04/082-83 को E-Bidding सम्बन्धि सुचना
Submitted on:
Sun, 11/23/2025 - 13:59
प्रकार:
सार्वजनिक खरीद / बोलपत्र सूचना
आर्थिक वर्ष:
८२/८३
Facebook
//